-
20 載
電測設備“智”造商
400-8818-755
-
-
-
20 載
電測設備“智”造商
400-8818-755
-
20 載
電測設備“智”造商
400-8818-755
-
20 載
電測設備“智”造商
400-8818-755



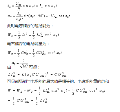
,則在串聯諧振時,電路中電感電流和電容電壓分別為



